腾讯视频
高考物理从放弃到入门
全50集 · 1.2万次播放
简介
更新至50集
专辑列表
1-30
31-50

05:28
高考物理 | 光学基础知识的运用

07:55
中学生讲课 || 热力学第一定律和气体状态方程的应用

04:19
中学生讲课 || 电磁感应中等间距单棒模型

02:21
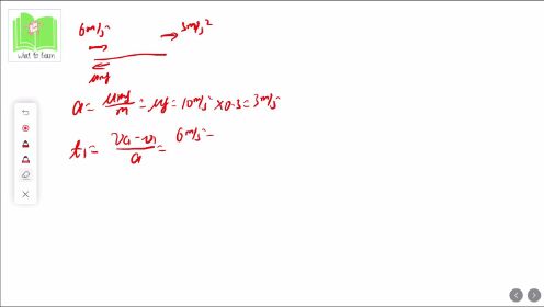
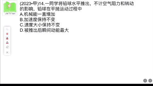
2023年高考甲卷物理真题:平抛运动问题

22:01
高考物理:力学综合问题

11:06
2023年上海等级考物理卷试题分析

03:28
2023年湖南高考:电场问题

08:54
2023年浙江高考物理|1月高考热学问题

15:01
2023年浙江高考:运动学问题

05:19
2023高考物理:运动学问题

01:52
2023年高考新课标物理卷试题讲解

03:56
高考物理:安培力问题

20:17
高考物理丨磁通量问题

03:39
高考物理:电场的性质(二)

03:07
高考物理:功率问题

18:07
2023浙江高考:磁场问题

20:06
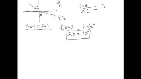
高中物理:光的折射

19:06
高考化学:溶液的综合问题

29:12
高考英语语法:非谓语作定语

12:35
高中生面对错题的处理方式是什么

04:09
高考物理:感应电动势问题

04:38
高考物理:电磁感应中落磁实验

02:31
高中物理 || 平抛运动的应用

01:42
高考物理:质能方程

08:22
带电粒子在有界磁场中的运动

05:13
电场力沿电场线切线方向

08:54
高考物理 | “电桥法”测电阻

07:03
交变电流的综合运用

03:57
位移时间图像

07:49
弹簧振子振动周期与质量关系

